28、数据结构——树——树和森林的遍历
一、树的遍历
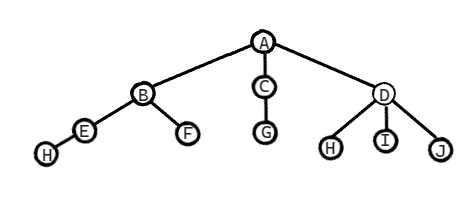
1)树的先根遍历(和二叉树前序遍历是异曲同工的)
若树非空,先访问根节点,再依次对每棵树进行先根遍历

对于上面树的先根遍历序列应该为:A——>B——>E——>H——>F——>C——>G——>D——>H——>I——>J
1 | |
注意: 将树转换为二叉树,数的先根遍历序列与这课树相应的二叉树的先序遍历相同。下面的图就是上述图转换为的二叉树,前面已经说过转换方式,这里就不详细介绍了。
2)数的后根遍历(和二叉树后序遍历是异曲同工的)
若树非空,先依次对每颗子树进行后根遍历,最后访问根结点。

对于上面树的后根遍历序列应该为:H——>E——>F——>B——>G——>C——>H——>I——>J——>D——>A
1 | |
注意: 将树转换为二叉树,数的后根遍历序列与这课树相应的二叉树的后序遍历相同。下面的图就是上述图转换为的二叉树,前面已经说过转换方式,这里就不详细介绍了。
3)层次遍历(这个应该就不需要那么详细介绍了吧,就是按照之前介绍过的方式遍历)

这棵树的层次遍历序列为:A——>B——>C——>D——>E——>F——>G——>H——>I——>J——>H
1 | |
二、森林的遍历
森林定义
森林是m(m≥0)棵互不相交的树的集合。每棵树去掉根节点后,其各个子树又组成森林。
先序遍历
就是每棵树都进行一次先根遍历然后串在一起:
先根遍历为: B->E->K->L->F->C->G->D->H->M->I->J
注意: 森林的先序遍历序列和转换为的二叉树的先根遍历序列是相同的。
中序遍历(考得不多,但是必须了解一下!!!)
效果等效于依次对各个树进行后根遍历。
而转换成二叉树之后,二叉树的中序遍历就相当于森林的中序遍历